Financiële feedback per pathologie
- Welke informatie bevat deze feedback?
- Hoe gebeurde de selectie van de acute ziekenhuisverblijven?
- Welke bedragen worden in deze feedback gebruikt ?
- Wat zijn MDC's en APR-DRG's ?
- Wat is de ATC-classificatie ?
- Hoe worden de antibiotica ingedeeld?
- Wat zijn DDA's ?
- Wat zijn percentielen ?
- Wat is een box-plot ?
- Beschrijving van de feedback op MDC-niveau.
- Beschrijving van de feedback op APR-DRG-niveau.
- Beschrijving van de feedback geneesmiddelen.
- Beschrijving van de feedback antibiotica.
- Beschrijving van de basisgegevens.
- Beschrijving van de referentiebestanden.
-
Welke informatie bevat deze feedback?
De feedback in deze feedback is gebaseerd op de gekoppelde en gevalideerde Minimale Ziekenhuis Gegevens (MZG) van FOD Volksgezondheid en factureringsgegevens van de documenten AZV afgeleverd door de verzekeringsinstellingen. De koppeling tussen de twee basisgegevens gebeurde via het identificatienummer van de opgenomen patiënt bij zijn verzekeringsinstelling of via het NISS nummer die ons is afgeleverd, na onomkeerbare codering, door de ziekenhuizen en de verkeringsintellingen. Deze koppeling is niet exhaustief en varieert van het ene ziekenhuis naar het andere. Het koppelingpercentage van het aantal verblijven in uw ziekenhuis is vermeld bovenaan de eerste tabel van deel 1 (I.MDC).
Deze feedback werd opgebouwd uit HTML-pagina's die door links met elkaar verbonden zijn.
De punten 10 tot en met 13 bevatten de beschrijving van de vier onderdelen van de feedback, nl.: MDC-niveau, APR-DRG-niveau, geneesmiddelen en antibiotica.
Daarnaast bevat de FEEDBACK ook de ASCII-bestanden met alle basisgegevens zodat de meer ervaren computergebruiker deze gegevens ook kan inlezen en verwerken in zijn favoriete software (Excel, SAS, SPSS enz) (zie punt 14).
Ten behoeve dan deze gebruiker werden ook alle labels van de MDC's, APR-DRG's, ATC-klasse, enz. toegevoegd (zie punt 15).
-
Hoe gebeurde de selectie van de acute ziekenhuisverblijven?
De feedback omvat alleen de "klassieke" ziekenhuisverblijven, dus alleen de verblijven met minstens een overnachting in het ziekenhuis en niet de daghospitalisatie. Hiervoor werden dezelfde regels gebruikt als voor de feedback MZG d.w.z. dat de volgende klassieke verblijven niet in aanmerking worden genomen :
- de verblijven in de chronische ziekenhuizen;
- de volledige chronische verblijven (Sp) in de acute ziekenhuizen.
- de volledige psychiatrische verblijven (A, K, T) in de acute ziekenhuizen
- de volledige chronische en psychiatrische verblijven (Sp, A, K, T) in de acute ziekenhuizen
- de langdurige verblijven (beëindigd en niet beëindigd).
-
Welke bedragen worden in deze feedback gebruikt?
De feedback gaat over de bedragen terugbetaald door de mutualiteiten in het kader van de verplichte ziekteverzekering. Persoonlijke aandelen (*), ereloontoeslagen of tussenkomsten van andere verzekeringen zijn dus niet opgenomen in de gegevens. Alle bedragen worden in Euro uitgedrukt.
(*) Voor wat de persoonlijke aandelen betreft, worden er twee uitzonderingen gemaakt :
alle uitgaven voor geneesmiddelen worden teruggebracht naar 100% van de vergoedingsbasis met inbegrip van de geforfaitariseerde antibiotica in het kader van de antibio-prophylaxie voor 1 juli 2006 en voor alle geforfaitariseerde geneesmiddelen vanaf 1 juli 2006;
vanaf 2002 is de ligdagprijs herberekend aan 100% en betekent dus de ZIV vergoeding, het aandeel van de FOD Volksgezondheid en het aandeel van de patiënt (voor 2002, voor het grotendeel van ziekenhuizen, ging het eveneens om de ligdagprijs aan 100%).
-
Wat zijn MDC's en APR-DRG's?
Iedere patiënt is uniek, maar heeft met andere patiënten een aantal diagnostische, therapeutische en demografische kenmerken gemeen die het mogelijk maken de patiënten in te delen in categorieën met gelijkaardig klinisch profiel en gelijkaardig profiel van zorgverstrekking.
In de DRG (Diagnosis Related Groups)-classificatie worden de verblijven eerst opgesplitst in 25 MDC's (Major Diagnostic Category). Dit gebeurt hoofdzakelijk op basis van de hoofddiagnose. Elke MDC komt overeen met een orgaanstelsel of etiologie van een aandoening en is meestel geassocieerd met een bepaalde medische specialiteit.
Daarna wordt er gekeken of er tijdens het verblijf een chirurgische ingreep werd uitgevoerd. Zo ja, komt het verblijf in een chirurgische DRG terecht, in het andere geval wordt het een medische DRG. Verder wordt de uiteindelijke DRG bepaald door de aard van de ingreep voor de chirurgische DRG's en de diagnoses voor de medische DRG's.
- Versie 15 vanaf 1996 : 355 APR-DRG
- Versie 28 (forced poaa) vanaf 2012 : 314 APR-DRG
- Versie 34 vanaf 2016 : 318 APR-DRG
- Versie 36 vanaf 2021 : 334 APR-DRG
- Versie 38 vanaf 2022 : 340 APR-DRG
- Versie 40 vanaf 2023 : 340 APR-DRG
Gebruikt APR-DRG versies :
Daarentegen wordt elke APR-DRG opgesplitst in enerzijds vier niveaus die de graad van ernst van de aandoening aanduiden, en anderzijds vier niveaus van overlijdensrisico. De toekenning van een graad van ernst en een klasse van overlijdensrisico gebeurt in verschillende stappen en houdt rekening met de hoofddiagnose, nevendiagnoses, 'operating en non-operating room procedures', de leeftijd, de interactie tussen de hoofddiagnose en nevendiagnoses, Elk verblijf krijgt dus drie kenmerken: APR-DRG, graad van ernst en overlijdensrisico. Een gedetailleerde beschrijving van deze onderverdeling vindt U in een bijlage op deze FEEDBACK.
Voor de feedback worden enkel de APR-DRG's en de vier graden van ernst in rekening genomen (1=mineur,2=matig,3=majeur,4=extreem).
Er zijn nog twee bijkomende APR-DRG's voor de fout gecodeerde verblijven. Deze hebben als graad van ernst "onbekend":
- APR-DRG 955: Hoofdiagnose niet geldig als ontslagdiagnose.
- APR-DRG 956: Niet te groeperen verblijven.
-
Wat is de ATC-classificatie?
Bij de feedback geneesmiddelen worden de geneesmiddelen ingedeeld volgens de ATC-klasse ( Anatomical Therapeutic Chemical Classification System )
Het gebruik van deze classificatie voor de analyse van het geneesmiddelengebruik wordt door de WGO (Wereld Gezondheid Organisatie) aangeraden. Deze classificatie bestaat uit een boomstructuur en laat toe de geneesmiddelen te klasseren van meer globaal naar een meer gedetailleerde indeling.
De code bestaat uit 7 karakters waarmee 5 niveaus onderscheiden kunnen worden. De indeling gebeurt op basis van:
- het systeem of het orgaan waarvoor de medicatie gegeven wordt en verder
- volgens de chemische, farmacologische en therapeutische eigenschappen van het geneesmiddel
De vijf niveaus zijn:
- de anatomische hoofdgroep : 1 letter
- de therapeutische hoofdgroep : 2 cijfers
- de therapeutische/farmacologische subgroep : 1 letter
- de chemische subgroep : 1 letter
- het actieve bestanddeel : 2 cijfers
Elke geneesmiddel wordt geklasseerd volgens zijn belangrijkste therapeutische aanwending. Zo komen we tot één ATC code per geneesmiddel.
Bijvoorbeeld: ranitidine
- ATC1: A = Maagdarmkanaal en metabolisme
- ATC2: A02 = Antacida, ulcus pepticum- en flatulentiemiddelen
- ATC3: A02A = Ulcus pepticummiddelen
- ATC4: A02BA = H2-receptorblokkerende middelen
- ATC5: A02BA02 = Ranitidine
In de feedback vinden we de niveaus 1 en 4 terug.
Op niveau 1 vinden we bijvoorbeeld:
- A. de geneesmiddelen voor het maagdarmkanaal en metabolisme;
- B. geneesmiddelen voor het bloed en de bloedvormende organen:
- C. medicatie voor het hart en vaatstelsel;
- enz.
Op niveau 4 vinden we bijvoorbeeld:
- B05AA: Bloedvervangingsmiddelen en plasma-eiwitfracties
- B05BA: Oplossingen voor parenterale voeding
- B05BB: Oplossingen met invloed op de elektrolytenbalans
- B05BC: Oplossingen met osmotisch-diuretische werking
- B05CA: Anti-microbiële middelen
- B05CB: Zoutoplossingen
- B05CX: Overige irrigatievloeistoffen
- B05ZA: Hemodialysemiddelen, concentraten
-
Hoe worden de antibiotica ingedeeld?
Omdat de ATC-classificatie niet ideaal is voor de analyse van de antibiotica die gebruikt worden in een ziekenhuismilieu (bijvoorbeeld gebrek aan detail voor de cefalosporinen), werd voor de feedback van de antibiotica een aparte, meer adequate classificatie gebruikt. Deze werd overgenomen van de informatie-campagnes over antibiotica georganiseerd door het RIZIV.
Bijvoorbeeld:
- cefalosporinen 1ste generatie
- cefalosporinen 2de generatie (excl. Anaeroben)
- cefalosporinen 2de generatie (anaeroben)
- cefalosporinen 3de generatie, enkel oraal (excl. ceftazidime - cefsulodin)
- cefalosporinen 3de generatie, enkel parenteraal (excl. ceftazidime - cefsulodin)
- cefalosporinen 3de generatie: ceftazidime - cefsulodin
- cefalosporinen 4de generatie.
Al deze groepen komen afzonderlijk voor in de feedback.
-
Wat zijn DDA's?
Bij de feedback antibiotica werden de volumes uitgedrukt in "DDA". Dit is een Belgische variant van de "DDD". DDD staat voor "Defined Daily Dose" of vrij vertaald "Doorsnee Dag Dosis". Het is de veronderstelde gemiddelde dagdosis voor een geneesmiddel, dat bij een volwassene aangewend wordt in zijn voornaamste indicatie.
De DDA of de "Daily Drug Administration" is een verfijnde versie van de DDD die beter rekening houdt met de toedieningswijze en de concentratie van het geneesmiddel en zijn verschillende verpakkingen. De DDA werd overgenomen van de informatie-campagnes over antibiotica georganiseerd door het RIZIV.
Voorbeeld:
Specialiteit Toedienings- wijze RIZIV- code Farmaceutische vorm DDD- waarden DDA- waarden Ceclor oraal 702613 Siroop 1 x 125mg/5ml 1.5g 0.375g 732222 Siroop 1 x 250mg/5ml 1.5g 0.75g 736116 Caps. 1 x 500mg 1.5g 1.5g Pentrexil parenteraal 714378 Injectiefl. 1 x 500mg 2g 2g 714386 Injectiefl. 1 x 1g 2g 4g 714394 Injectiefl. 1 x 2g 2g 8g ò Bij de interpretatie van de gegevens dient mee er rekening mee te houden dat, indien twee antibiotica samen worden toegediend, het volume in de berekening opgeteld wordt.
-
Wat zijn percentielen?
De percentielen geven de distributie van een bepaald bedrag weer. Hierbij moeten we ons inbeelden dat de verblijven op basis van hun bedrag (bijvoorbeeld aan geneesmiddelen) van klein naar groot geordend worden. Het 5de verblijf (indien er juist honderd verblijven zijn) of het verblijf dat zich bevindt op de plaats nadat we 5 % van de verblijven gepasseerd zijn, geeft de waarde aan van de percentiel 5. Er zijn dus 95 % van de verblijven die een bedrag hebben hoger dan de percentiel 5 en 5 % van de verblijven hebben een bedrag lager dan de percentiel 5. Hetzelfde geldt voor de andere percentielen. De percentiel 50 wordt ook de mediaan genoemd. 50 % van de verblijven hebben een bedrag hoger en 50 % een bedrag lager dan de percentiel 50. De mediaan is het bedrag van het middelste verblijf bij ordening van klein naar groot Bij een even aantal verblijven is de mediaan het gemiddelde bedrag van de twee verblijven die zich in het midden bevinden.
Men mag de mediaan niet verwarren met het gemiddelde. Het gemiddelde is de som van de bedragen van alle verblijven gedeeld door het aantal verblijven. Bij een normale verdeling verschillen de mediaan en het gemiddelde niet zo erg. Bij een scheve verdeling naar rechts, d.w.z. als een aantal verblijven zeer hoge bedragen genereren, kan dit het gemiddelde erg omhoog trekken en totaal geen invloed hebben op de mediaan. Indien dus de percentielen 75 en 95 hoog zijn en verder verwijderd liggen van de mediaan dan de percentielen 5 en 25, dan zal het gemiddelde hoger zijn dan de mediaan. Afhankelijk van wat men juist wil bestuderen, dient het gemiddelde of de mediaan gebruikt te worden.
-
Wat is een box-plot?
Om de variatie aan te tonen worden in de feedback boxplots gebruikt.
Eerst wordt, per ziekenhuis, de mediaan voor een bepaalde variabele en een bepaald bedrag (bijvoorbeeld geneesmiddelen) berekend.
Verticaal worden de medianen van de verschillende ziekenhuizen uitgezet. Deze medianen worden gerangschikt van onder naar boven, van klein naar groot. Dan wordt rond de 50 % middelste waarden een rechthoek trokken. 50 % van de ziekenhuizen bevinden zich derhalve binnen de box. 25 % van de ziekenhuizen hebben een waarde kleiner dan de waarde die overeenkomt met de onderkant van de box en 25 % van de ziekenhuizen hebben een mediaan die hoger is dan de waarde van de bovenkant van de box.
De horizontale lijn op de uiteinden van de verticale lijnen onder en boven de rechthoek komen overeen met de percentiel 5 en de percentiel 95: 5% van de ziekenhuizen hebben een waarde lager en 5 % een waarde hoger dan de aangeduide waarde. 20% van de ziekenhuizen bevinden zich tussen de box en het horizontale lijntje.
De 5 % hoogste en laagste bedragen worden afzonderlijk met een teken aangeduid. Elk puntje boven de lijn komt dus overeen met 1 ziekenhuis dat een hogere waarde heeft dan 95 % van de ziekenhuizen.
De horizontale lijn in de rechthoek duidt de p50 of de mediaan aan. In de feedback is dit dus de mediaan van de medianen van elk ziekenhuizen.
In de feedback naar de ziekenhuizen zal de waarde van het eigen ziekenhuis met een pijltje (Ã) aangeduid worden. Zo kan het ziekenhuis zich dadelijk situeren
-
Beschrijving van de feedback op MDC-niveau.
De APR-DRG's 001 tot en met 011 werden gegroepeerd in een " pre-MDC ".
- 001 Lever- en/of darmtransplantatie
- 002 Hart en/of longtransplantatie
- 004 Tracheotomie behalve voor aandoeningen van mond, farynx of larynx
- 005 Tracheotomie voor aandoeningen van mond, farynx of larynx
- 006 Pancreastransplantatie
- 007 Allogene beenmergtransplantatie
- 008 Autologe beenmergtransplantatie
- 009 Extracorporele membraanoxygenatie (ECMO)
- 011 Chimerische antigen receptor T-cel en andere immunotherapieën
In de feedback staat deze MDC als eerste op de lijst
De APR-DRG 950, 951, 952, 955 en 956 zijn ondergebracht in de MDC " FF ".
- 950 Belangrijke ingrepen zonder verband met de hoofddiagnose
- 951 Ingrepen op de prostaat zonder verband met de hoofddiagnose
- 952 Minder belangrijke ingrepen zonder verband met hoofddiagnose
- 955 Diagnose niet geldig als hoofddiagnose
- 956 Niet te groeperen verblijven
De APR-DRG AAA, DDD, MMM, UAA, UUU et XXX zijn ondergebracht in de MDC " SS ".
- AAA Psychiatrie (A, K, T)
- DDD Voorlopige registratie
- MMM Daghospitalisatie
- UAA Psychiatrische spoedgevallendienst
- UUU Spoedgevallendienst
- XXX Dummy diagnose
Deze bevindt zich in de lijsten als laatste MDC na MDC 25
De feedback op MDC-niveau bestaat uit 4 delen die U kunt selecteren in de inhoudslijst links op het scherm. Per MDC worden het aantal, het bedrag of een percentage voor de volgende variabelen aangegeven:
- het aantal verblijven
- het bedrag voor de ligdagprijs (100% = ZIV + Volksgezondheid + persoonlijk aandeel);
- het bedrag voor de geneesmiddelen (100% vergoedingsbasis)
- het bedrag voor de prestaties (met inbegrip van operatieve hulp vanaf 2006)
- het bedrag voor de klinische biologie (het deel dat per prestaties wordt vergoed (25 %) en niet de forfait.)
- en de som van de "andere bedragen":
- forfaitaire honoraria voor medische beeldvorming, klinische biologie en voor de medische wachtdienst, en forfaits laagvariabele zorg (vanaf 1/1/2019).
- weefsel van menselijke oorsprong
- de radio-isotopen
- bloed en bloedplasma
- moedermelk
- implantaten
- materiaal voor stomie en incontinentie
Tabel 1: TOTALE BEDRAGEN PER MDC (EURO)
Hierin worden, naast het totaal aantal verblijven per MDC, de totale bedragen voor de hierboven vermelde groepen weergegeven.
Tabel 2: VERDELING VAN DE VERBLIJVEN EN DE BEDRAGEN TUSSEN DE MDC's (%)
Deze tabel bevat het aandeel, uitgedrukt in percent, dat elke MDC bijdraagt tot het totale bedrag van de verschillenden groepen.
Grafiek:
Door op de cijfers in één van de kolommen te klikken verkrijgt men een histogram met de verdeling van het bedrag over de verschillende MDC's voor het geselecteerde bedrag.
Door een rode driehoek (▲) wordt per MDC ook telkens het percentage verblijven weergegeven. Zo kan men het aandeel van een bepaalde MDC voor bijvoorbeeld het bedrag voor geneesmiddelen vergelijken met het percentage verblijven dat deze MDC vertegenwoordigt.
Tabel 3: VERDELING VAN HET TOTALE BEDRAG PER MDC (%)
Deze tabel bevat het percentage dat elk bedrag uitmaakt t.o.v. het totale bedrag voor een bepaalde MDC.
Grafiek:
Door op een bepaalde MDC in de eerste kolom te klikken, verkrijgt men een tekening met twee taartdiagrammen.
De grootte van de stukken toont het aandeel aan van de verschillende bedragen. In de nationale feedback geeft de linkse taart de waarden voor de gekozen MDC weer en de rechtse de waarden voor alle MDC's samen. In de feedback per ziekenhuis geeft de linkse taart de waarden weer voor de gekozen MDC en voor het ziekenhuis en de rechtse de nationale waarden voor de gekozen MDC.
Tabel 4: GEMIDDELDE BEDRAGEN PER VERBLIJF (EURO)
Deze tabel geeft de gemiddelde waarden weer per MDC en groep van bedragen.
Grafiek:
Door op een bepaalde MDC in de eerste kolom te klikken, verkrijgt men een tekening waarbij in de nationale feedback de gemiddelden van de gekozen MDC vergeleken wordt met de gemiddelden voor alle MDC's samen .In de feedback per ziekenhuis de gemiddelden van het ziekenhuis worden met de nationale gemiddelden voor de gekozen MDC vergeleken.
-
Beschrijving van de feedback op APR-DRG-niveau.
In het linkse venster worden alle APR-DRG's gerangschikt per MDC weergegeven. Door op een MDC te klikken kunt U de APR-DRG's die tot die MDC behoren, laten verdwijnen of verschijnen.
Om de gegevens van een bepaalde APR-DRG in het rechtse venster te doen verschijnen, klikt U op klik_hier� onder de gekozen APR-DRG.
Tabel 1: Gemiddelde bedragen per verblijf
Per APR-DRG en graad van ernst bevatten de kolommen de volgende waarden:
- het totaal aantal verblijven;
- het percentage van de verblijven per graad van ernst binnen de gekozen APR-DRG;
- de gemiddelde leeftijd;
- de gemiddelde gefactureerde verblijfsduur;
- het gemiddelde bedrag aan "verpleegdagprijs" (het deel "Volksgezondheid" en/of "Patiënt" werden in sommige ziekenhuizen niet altijd meegedeeld);
- het gemiddelde bedrag voor de farmaceutische producten;
- het gemiddelde bedrag voor het geheel van de
honoraria:
- medische en chirurgische prestaties (met inbegrip van operatieve hulp vanaf 2006)
- forfaitaire honoraria (medische beeldvorming, klinische biologie en medische wachtdienst en laagvariabele zorg vanaf 1/1/2019)
- klinische biologie (het deel per akte aan 25%)
- andere prestaties of leveringen: weefsel van menselijke oorsprong, radio-isotopen, bloed en bloedplasma, moedermelk, implantaten, tracheostomie materiaal, materiaal voor stomie en incontinentie.
- het gemiddelde totale bedrag (verpleegdagprijs + geneesmiddelen + honoraria)
Als U op een bedrag in de totaal lijn van deze tabel klikt, komt U in de tabellen op niveau 2 terecht. Deze bevatten voor de leeftijd (tabel 2.1), het aantal gefactureerde ligdagen (tabel 2.2), het bedrag aan ligdagprijs (tabel 2.3), het bedrag voor farmaceutische producten (tabel 2.4), het totale bedrag (tabel 2.6) en de percentielwaarden. Voor het geheel aan honoraria vindt U in tabel 2.5 een verdere detaillering.
Tabel 2.1: Percentielen van de leeftijd van de patiënt
Deze tabel bevat per APR-DRG en graad van ernst de volgende kolommen:
- het aantal verblijven;
- de gemiddelde leeftijd;
- de percentielwaarden (p5, p25, p50, p75 en p95).
Grafiek: Box-plot van de medianen van de leeftijd van de patiënt
Door op de kolom van de mediaan (p50) te klikken, komt men bij een figuur terecht die vier box-plots bevat, één voor elke graad van ernst. De box-plots werden berekend op de mediaanwaarde van elk ziekenhuis.
Nationale feedback:
In de boxplots op nationaal niveau worden enkel de ziekenhuizen met een waarde tussen de percentiel 5 en 95 weergegeven, de "outliers" worden niet voorgesteld.
Feedback per ziekenhuis:
Mediaan van de leeftijd van de patiënten voor uw ziekenhuis (pijl) ten opzichte van de medianen van alle ziekenhuizen (box-plot)
In de feedback per ziekenhuis wordt de mediaan van het ziekenhuis met een rode pijl aangeduid.
Indien een bepaald ziekenhuis slechts één verblijf in een bepaalde groep heeft, kan dit aanleiding geven tot een zeer hoge of zeer lage mediaan.
Indien in een bepaalde box-plot minder dan 20 verblijven voorkomen, is de p5 gelijk aan het minimum en de p95 gelijk aan het maximum. Men heeft dan op de tekening geen outliers.
Tabel 2.2: Percentielen van de verblijfsduur
Deze tabel bevat per APR-DRG en graad van ernst de volgende kolommen:
- het aantal verblijven;
- de gemiddelde gefactureerde verblijfsduur per verblijf;
- de percentielwaarden (p5, p25, p50, p75 en p95).
Grafiek: Box-plot van de medianen van de verblijfsduur
Door op de kolom van de mediaan (p50) te klikken, komt men bij een figuur terecht die vier box-plots bevat, één voor elke graad van ernst. De box-plots werden berekend op de mediaanwaarde van elk ziekenhuis.
Nationale feedback:
In de boxplots op nationaal niveau worden enkel de ziekenhuizen met een waarde tussen de percentiel 5 en 95 weergegeven, de "outliers" worden niet voorgesteld.
Feedback per ziekenhuis:
In de feedback per ziekenhuis wordt de mediaan van het ziekenhuis met een rode pijl aangeduid. Daar de outliers" er voor kunnen zorgen dat men in deze grafiek zeer grote waarden moet voorstellen waardoor de rest van de grafiek niet meer leesbaar is kan men door op de rode pijl te klikken een figuur bekomen zonder "outliers" zoals in de nationale feedback.


Klik op de pijl om de box-plot met een grotere schaal te zien Afbeelding van P5 tot P95 (zonder outliers) Tabel 2.3: Percentielen van de verpleegdagprijs
Deze tabel bevat per APR-DRG en graad van ernst de volgende kolommen:
- het aantal verblijven;
- het totale bedrag voor de verpleegdagprijs (het deel "Volksgezondheid" en/of "Patiënt" werden in sommige ziekenhuizen niet altijd meegedeeld);
- het gemiddelde bedrag per verblijf voor de verpleegdagprijs;
- de percentielwaarden (p5, p25, p50, p75 en p95).
Grafiek: Box-plot van de medianen van het bedrag aan verpleegdagprijs
Zie tabel 2.2
Tabel 2.4: Percentielen van het bedrag van de farmaceutische producten
Deze tabel bevat per APR-DRG en graad van ernst de volgende kolommen:
- het aantal verblijven;
- het totale bedrag voor de farmaceutische producten;
- het gemiddelde bedrag per verblijf voor de farmaceutische producten;
- de percentielwaarden (p5, p25, p50, p75 en p95).
Grafiek: Box-plot van de medianen van het bedrag voor de farmaceutische producten
Zie tabel 2.2
Tabel 2.5: Details voor het bedrag van de gemiddelde honoraria
Deze tabel bevat per APR-DRG en graad van ernst de volgende kolommen:
- het aantal verblijven;
- het gemiddelde bedrag voor verstrekkingen (met inbegrip van operatieve hulp vanaf 2006) : cf. Tabel 3.1
- het gemiddelde bedrag voor forfaitaire honoraria (medische beeldvorming, medische wachtdienst en klinische biologie vanaf 2001, en laagvariabele zorg vanaf 1/1/2019): cf. Tabel 3.2
- het gemiddelde bedrag voor klinische biologie (het deel per akte aan 25%): cf. Tabel 3.3
- het gemiddelde bedrag voor implantaten, tracheostomie materiaal, materiaal voor stomie en incontinentie (geen detail)
- het gemiddelde totale bedrag voor de andere prestaties: cf. Tabel 3.4
- het gemiddelde bedrag voor het geheel van de honoraria: totaal Tabel 3.1 tot 3.4 + implantaten en tracheostomie materiaal enz.
Tabel 3.1: Details voor de bedragen van de verstrekkingen
Hier komt men terecht door in tabel 2.5 in de kolom "het gemiddelde bedrag voor verstrekkingen" op één van de bedragen (overeenkomstig een graad van ernst) te klikken. Tabel 3.1 bestaat voor elke graad van ernst en geeft de verdeling van verstrekkingen weer over volgende groepen:
A. "Heelkunde"
Deze groep bevat de volgende artikels:
- 14a: algemene heelkunde
- 14b: neurochirurgie
- 14c: plastische heelkunde (+ 10 pseudo-codes «borstreconstructie» : 252663, 252685, 252700, 252722, 252744, 252766, 252781, 252803, 252825 en 252840)
- 14d: heelkunde op het abdomen
- 14e: heelkunde op de thorax
- 14f: bloedvatenheelkunde
- 14h: oftalmologie
- 14i: oto-rhino-laryngologie
- 14j: urologie
- 14k: orthopedie
- 14l: stomatologie
- 14m: transplantaties (+ 4 pseudo-codes voor orgaan en beenmerg vervoer : 269920, 269942, 269964 en 269986)
- 05: tandverzorging
B. "Anesthesiologie"
Deze groep bevat het artikel 12: anesthesiologie.
C. "Reanimatie"
Deze groep bevat het artikel 13: reanimatie.
+ 6 pseudocodes voor COVID-19 patiënten (211061, 211960, 211982, 212063, 214060, 214141)
D. "Inwendige geneeskunde"
Deze groep bevat de volgende artikels:
- 20a: inwendige geneeskunde
- 20b: pneumologie
- 20c: gastro-enterologie
- 20d: pediatrie
- 20e: cardiologie
- 20f: neuropsychiatrie
- 20g: reumatologie (vanaf 2008)
- 21: dermato-venereologie
+ 7 pseudo-codes in verband met dialyse (761983, 761526, 470304, 470326, 470341, 470901 en 470945) en 2 pseudo-codes in verband met stamcellen (269883 en 269905). De pseudocode 761283 – forfaitaire verpleegdag nierdialyse – is niet inbegrepen.
E. "Gynaecologie / Verloskunde / Verlossingen"
Deze groep bevat de volgende artikels:
- 09: verlossingen
- 14g: gynaecologie-verloskunde
F. "Medische beeldvorming"
Deze groep bevat de volgende artikels:
- 17: medische beeldvorming
- 34: percutane interventionele verstrekkingen
- 18: het deel nucleaire geneeskunde in vivo (§2)
G. "Kinesitherapie et fysiotherapie"
Deze groep bevat de volgende artikels:
- 07: verzorging door kinesitherapeuten
- 22: fysiotherapie
+ 2 pseudocodes (639866 en 639881) voor «dossieropstart»
+ 3 pseudocodes (562682,562704 en 562741) voor «toeslag-verstrekkingen art7 §1»
+ 6 pseudocodes (562520, 562542, 562564, 562586, 562645, 562660) voor « Toeslag - prestaties art.7 §1er,1° »
+ 3 pseudocodes (557900, 557944, 557981) voor tijdelijke verstrekkingen in het kader van een epidemie COVID-19
+ 2 pseudocodes (518081, 518103) voor verzorging verleend aan gehospitaliseerde COVID-19 patiënten
H. "Radiotherapie"
Deze groep bevat van artikel 18 alleen het deel radiotherapie. (§1)
I. "Pathologische anatomie"
Deze groep bevat het artikel 32: pathologische anatomie
J. "Genetische onderzoeken"
Deze groep bevat het artikel 33: genetische onderzoeken
+ 3 pseudo-codes «genetic counceling» : 589761, 589783 en 589805 (vanaf 2013).
K. "Andere"
Deze groep bevat de volgende artikels:
- 02: honorarium voor de behandelende erkende huisarts, voor het bezoek in een ziekenhuis aan een patiënt (vanaf 2007)
- 03: technische geneeskundige verstrekkingen (andere dan klinische biologie)
- 11: algemene speciale verstrekkingen
- 15: bijkomend honorarium voor de heelkundige verstrekkingen met een betrekkelijke waarde gelijk aan of hoger dan K120 of N200 die worden uitgevoerd onder de voorwaarden, gesteld in artikel 14 en in artikel 15, en worden aangerekend door een geaccrediteerde geneesheer specialist (vanaf 2007)
- 25: toezicht op de in een ziekenhuis opgenomen rechthebbers
- 26: dringende technische verstrekkingen
- 27 en 29 : verstrekkingen van bandagisten en orthopedisten (vanaf 1/12/2013)
- 28 §8 : verstrekkingen voor mobiliteitshulpmiddelen
- 29: verstrekkingen van orthopedisten (vanaf 1/12/2013)
- 30: verstrekkingen van opticiens (vanaf 1/12/2012)
- 31: verstrekkingen van audiciens (vanaf 1/12/2012).
- 36: verstrekkingen van logopedie (vanaf 2007)
+ pseudo-codes cardiacrevalidatie (771201, 771223), orthoptie (771540, 771562), ergotherapie (784802) en tabaksontwenning (740445, 740460 en 740482).
+ 2 pseudocodes bijkomend honorarium voor toezicht op COVID-19 patiënten (597984, 599502)
+ pseudocode identificatie COVID-19-patiënt (793800)
L. "Moleculaire biologie"
Deze groep bevat het artikel 33 bis (vanaf 2007), artikel 24 bis (vanaf 2008) en artikel 33ter (vanaf 1/7/2019)
Tabel 3.2: Details voor de bedragen van de forfaitaire honoraria
Hier komt men terecht door in tabel 2.5 in de kolom "het gemiddelde bedrag voor forfaitaire honoraria" op één van de bedragen (overeenkomstig een graad van ernst) te klikken. Tabel 3.2 bestaat voor elke graad van ernst en geeft de verdeling van forfaitaire honoraria weer over volgende groepen:
- Medische beeldvorming (art. 17, §1, 12°) : 460703, 460821 + pseudocode 460784
- Medische wachtdienst (art. 25, §3) : 590166, 590181, 590203 en 590225
- Klinische biologie vanaf 2001 (art. 24, §2) : 591080, 591102, 591124, 591146, 591603 + pseudocode 592001
- Laagvariabele zorg vanaf 1/1/2019 : pseudocodes 798022 tot 800122 (N67)
Tabel 3.3: Details voor de bedragen van de klinische biologie (het deel per akte aan 25%)
Hier komt men terecht door in tabel 2.5 in de kolom "het gemiddelde bedrag voor klinische biologie " op één van de bedragen (overeenkomstig een graad van ernst) te klikken. Tabel 3.3 bestaat voor elke graad van ernst en geeft de verdeling van klinische biologie weer over volgende groepen:
Geen klinische biologie
- A. Chemie
- B. Hormonologie
- C. Toxicologie
- D. Therapeutische monitoring
- E. Microbiologie
- F. Infectieuze serologie
- G. Hematologie
- H. Coagulatie en hemostase
- I. Immunohematologie en niet-infectieuze serologie
- J. In vitro fertilisatie
Tabel 3.4: Details voor het bedrag van de categorie varia
Hier komt men terecht door in tabel 2.5 in de kolom "het gemiddelde bedrag voor varia" op één van de bedragen (overeenkomstig een graad van ernst) te klikken. Tabel 3.4 bestaat voor elke graad van ernst en geeft de verdeling van de categorie varia(otherint) weer over volgende groepen:
- Geen varia
- A. Bloed en bloedplasma
- B. Moedermelk
- C. Radioactieve isotopen
- D. Weefsel van menselijke oorsprong
Tabel 2.6: Percentielen van het totale bedrag
Deze tabel bevat per APR-DRG en graad van ernst de volgende kolommen:
- het totaal aantal verblijven
- het totale bedrag (verpleegdagprijs + geneesmiddelen + honoraria)
- het gemiddelde totale bedrag per verblijf
- de percentielwaarden (p5, p25, p50, p75 en p95).
Grafiek: Box-plot van de medianen van het totale bedrag
Cf. de hierboven beschreven procedure voor de tabellen 2.1 tot 2.5
-
Beschrijving van de feedback geneesmiddelen.
In het linkse venster heeft U de keuze tussen (A) Verdeling van de uitgaven aan geneesmiddelen en (B) Grafieken van de uitgaven aan geneesmiddelen per ATC1. De eerste keuze (A) leidt U door een feedback met enkel tabellen, de tweede weg (B) geeft ook enkele grafieken weer maar komt uiteindelijk op dezelfde detail tabellen terecht. U maakt Uw keuze door op klik_hier" te klikken.
Tabel 1: Lijst van de MDC's
Dit is de begintabel voor de twee keuzes.
Deze tabel bevat per MDC de volgende kolommen:
- het totaal aantal verblijven (Ntot);
- het aantal verblijven waarbij de patiënt medicatie heeft gekregen (Nfarm);
- het percentage verblijven waarbij de patiënt
medicatie heeft gekregen:
- Nationale feedback à(%farm)
- Feedback per ziekenhuis à (%farmZH)
- in de feedback per ziekenhuis wordt ook het nationaal percentage weergegeven (%farmNAT).
Door op een MDC in tabel 1 te klikken, komt men bij de eerste keuze (A) in tabel 2 terecht of via de tweede weg (B) bij grafiek 1.
Grafiek 1: Uitgaven aan geneesmiddelen voor deze MDC per ATC1
Voor de gekozen MDC wordt de totale uitgaven per ATC1 klasse weergegeven.
- A. Maagdarmkanaal en metabolisme
- B. Bloed en bloedvormende organen
- C. Hart- en vaatstelsel
- D. Dermatologica
- G. Urogenitale stelsel en geslachtshormonen
- H. Systemische hormoonpreparaten, geslachtshormonen uitgezonderd
- J. Anti-microbiële middelen voor systemisch gebruik
- L. Antineoplastische en immunomodulerende middelen
- M. Skeletspierstelsel
- N. Zenuwstelsel
- P. Anti-parasitaire middelen
- R. Ademhalingsstelsel
- S. Zintuiglijke organen
- V. Diverse middelen
- Z. Niet exploiteerbaar
Door op een balk in deze grafiek(weg B) te klikken of op een MDC in tabel 1 (weg A) komt men in tabel 2 terecht.
Tabel 2: Lijst van APR-DRG's van deze MDCDeze tabel bevat per APR-DRG van de gekozen MDC de volgende kolommen:
- het totaal aantal verblijven (Ntot);
- het aantal verblijven waarbij de patiënt medicatie heeft gekregen (Nfarm);
- het percentage verblijven waarbij de patiënt
medicatie heeft gekregen:
- Nationale feedback à (%farm)
- Feedback per ziekenhuis à(%farmZH)
- in de feedback per ziekenhuis wordt ook het nationaal percentage weergegeven (%farmNAT).
De tabel is onderverdeeld in chirurgische en medische APR-DRG's.
Enkel voor de APR-DRG's die in het ziekenhuis voorkomen, kan men door op de APR-DRG te klikken verder gaan naar tabel 3 (weg A) of grafiek 2 (weg B).
Grafiek 2: Uitgaven aan geneesmiddelen voor deze APR-DRG per ATC1
Voor de gekozen APR-DRG wordt de totale uitgaven per ATC1 klasse weergegeven.
De kleuren geven de graad van ernst weer:
- groen = 1 mineur
- geel = 2 matig
- oranje = 3 majeur
- rood = 4 extreem
Door op een balk in deze grafiek (weg B) te klikken of op een APR-DRG in tabel 2 (weg A) komt men in tabel 3 terecht.
Tabel 3: Verdeling van de totale uitgaven aan geneesmiddelen per APR-DRG
Deze tabel bevat per graad van ernst van de gekozen APR-DRG de volgende kolommen:
- het totaal aantal verblijven (Ntot);
- het aantal verblijven waarbij de patiënt medicatie heeft gekregen (Nfarm);
- het percentage verblijven waarbij de patiënt medicatie heeft gekregen (%farm);
- het totale bedrag voor geneesmiddelen (Totaal bedrag)
- het gemiddelde bedrag per verblijf (Gemid)
(berekend op de verblijven met medicatie);
- de percentielwaarden (p5, p25, p50, p75 en p95)
(berekend op de verblijven met medicatie).
In de feedback per ziekenhuis krijgt men twee tabellen: één met de cijfers van het ziekenhuis en één met de nationale cijfers.
Door op een graad van ernst te klikken komt men in tabel 4.
Tabel 4: Verdeling van de uitgaven aan geneesmiddelen per ATC1
Deze tabel bevat voor de gekozen graad van ernst binnen één APR-DRG voor elke ATC1-klasse de volgende kolommen:
- het aantal verblijven waarbij de patiënt medicatie heeft gekregen (N) (het totaal aantal verblijven staat bovenaan vermeld);
- het percentage verblijven waarbij de patiënt medicatie heeft gekregen (%);
- het gemiddelde bedrag per verblijf (Gemid) (berekend op de verblijven met medicatie);
- het totale bedrag voor geneesmiddelen(Totaal bedrag);
- de percentielwaarden (p5, p25, p50, p75 en p95) (berekend op de verblijven met medicatie).
Door op een ATC1-klasse te klikken komt men in tabel 5.
Tabel 5: Top 10 van de ATC4 groepen binnen de geselecteerde ATC1
Deze tabel bevat voor de gekozen graad van ernst binnen één APR-DRG en voor de gekozen ATC1-klasse de volgende informatie per ATC4-klasse:
- het aantal verblijven waarbij de patiënt medicatie heeft gekregen (N) (het totaal aantal verblijven staat bovenaan vermeld);
- het percentage verblijven waarbij de patiënt medicatie heeft gekregen (%);
- het gemiddelde bedrag per verblijf (Gemid) (berekend op de verblijven met medicatie)
- het totale bedrag voor geneesmiddelen(Totaal bedrag);
- het percentage dat het bedrag van deze ATC4-klasse uitmaakt binnen de ATC1-klasse (%ATC1).
Verdere details worden in de huidige feedback niet gegeven. Op dit niveau krijgt men reeds een goed idee van het type geneesmiddel dat voorgeschreven werd, en dit op een aanvaardbaar aggregatie niveau voor een algemene feedback. Voor een meer doorgedreven analyse is het DRG-niveau nog niet fijn genoeg en dient men ook de individuele diagnoses te bekijken Voor de geneesmiddelen mag niet alleen de kostprijs bekeken worden maar ook de voorgeschreven volumes, enz.
-
Beschrijving van de feedback antibiotica.
Selectie van de gegevens:
Voor de feedback antibiotica werd een bijkomende selectie uitgevoerd teneinde de gegevens waarbij er een vermoeden bestaat van foute registratie, te verwijderen zodat ook de toegediende volumes konden berekend worden.
De weerhouden gegevens dienden te voldoen aan de volgende criteria:
- de verhouding tussen de normale dagdosis voor een bepaald product en de totale ligduur mag niet meer zijn dan 10.
Het toegediend volume van een product voor een verblijf wordt berekend in DDA op basis van het aantal opgegeven eenheden in de registratie.
De feedback bestaat uit drie delen zoals vermeld in het linkse venster. Door op klik_hier te klikken kan men een keuze maken.
1.Statistische tabel per APR-DRG (bedragen in EURO)Deze tabel geeft alle APR-DRG's (nationaal of van het ziekenhuis) weer met:
- het totaal aan verblijven per APR-DRG (Ntot);
- het aantal verblijven waarbij de patiënt antibiotica gekregen heeft (NAB);
- het percentage verblijven waarbij de patiënt antibiotica gekregen heeft (%AB).
Door op een APR-DRG te klikken komt men in tabel 1.1 terecht.
Tabel 1.1: Verdeling van het antibioticaverbruik per APR-DRG en graad van ernst (bedragen)
Deze tabel geeft voor de gekozen APR-DRG per graad van ernst de volgende informatie weer:
- het totaal aan verblijven per APR-DRG en graad van ernst (Ntot);
- het aantal verblijven waarbij de patiënt antibiotica gekregen heeft (NAB);
- het percentage verblijven waarbij de patiënt antibiotica gekregen (%AB);
- het totale bedrag voor antibiotica per APDR-DRG en graad van ernst (Totaal bedrag);
- het gemiddelde bedrag per verblijf (Gemid.)(òberekend op de verblijven met antibiotica )
- de percentielwaarden (p5, p25, p50, p75 en p95)(ò berekend op de verblijven met antibiotica).
Door op een graad van ernst te klikken komt men in tabel 1.2 terecht.
Tabel 1.2: Verdeling van het antibioticaverbruik per APR-DRG, graad van ernst en antibiotica-klasse (bedragen)
Deze tabel geeft voor de gekozen APR-DRG en graad van ernst, per antibiotica-klasse de volgende informatie weer:
- het aantal verblijven waarbij de patiënt een antibiotica van die klasse gekregen heeft (N);
- het percentage verblijven waarbij de patiënt antibiotica uit deze klasse gekregen heeft (%AB). Het totaal aantal verblijven waarbij de patiënt antibiotica (eender wat) gekregen heeft, voor de gekozen APR-DRG en graad van ernst, staat bovenaan vermeld.
- het totale bedrag voor deze klasse (Totaal bedrag);
- het gemiddelde bedrag per verblijf voor deze klasse (Gemid.) (ò berekend op de verblijven met antibiotica uit deze klasse);
- de percentielwaarden (p5, p25, p50, p75 en p95) (ò berekend op de verblijven met antibiotica uit deze klasse).
2. Statistische tabel per APR-DRG (volumes)
De volumes worden uitgedrukt in "DDA". Zie punt 7 voor een meer uitleg.
We vertrekken van dezelfde tabel als beschreven in punt 1 hierboven met per APR-DRG het totaal aantal verblijven, het aantal verblijven met antibiotica en het percentage verblijven met antibiotica. Maar als op een APR-DRG geklikt wordt komt, men nu in tabel 2.1 terecht.
Tabel 2.1: Verdeling van het antibioticaverbruik per APR-DRG en per graad van ernst (volumes)
Deze tabel geeft voor de gekozen APR-DRG per graad van ernst de volgende informatie weer:
- het totaal aan verblijven per APR-DRG en graad van ernst (Ntot);
- het aantal verblijven waarbij de patiënt antibiotica gekregen heeft (NAB);
- het percentage verblijven waarbij de patiënt antibiotica gekregen (%AB);
- het totaal aantal DDA's per APDR-DRG en graad van ernst (Totaal DDA);
- het gemiddeld aantal DDA's per verblijf (Gemid.) (ò berekend op de verblijven met antibiotica )
- de percentielwaarden voor DDA (p5, p25, p50, p75 en p95) (ò berekend op de verblijven met antibiotica).
Door op een graad van ernst te klikken komt men in tabel 2.2 terecht.
Tabel 2.2: Verdeling van het antibioticaverbruik per APR-DRG, graad van ernst en antibiotica-klasse (volumes)
Deze tabel geeft voor de gekozen APR-DRG en graad van ernst, per antibiotica-klasse de volgende informatie weer:
- het aantal verblijven waarbij de patiënt een antibiotica van die klasse gekregen heeft (N);
- het percentage verblijven waarbij de patiënt antibiotica uit deze klasse gekregen heeft (%AB) Het totaal aantal verblijven waarbij de patiënt antibiotica (eender wat) gekregen heeft voor de gekozen APR-DRG en graad van ernst staat bovenaan vermeld.
- het totale aantal DDA's voor deze klasse (Totaal DDA);
- het gemiddelde aantal DDA's per verblijf voor deze klasse (Gemid.) (ò berekend op de verblijven met antibiotica uit deze klasse)
- de percentielwaarden voor DDA (p5, p25, p50, p75 en p95) (ò berekend op de verblijven met antibiotica uit deze klasse).
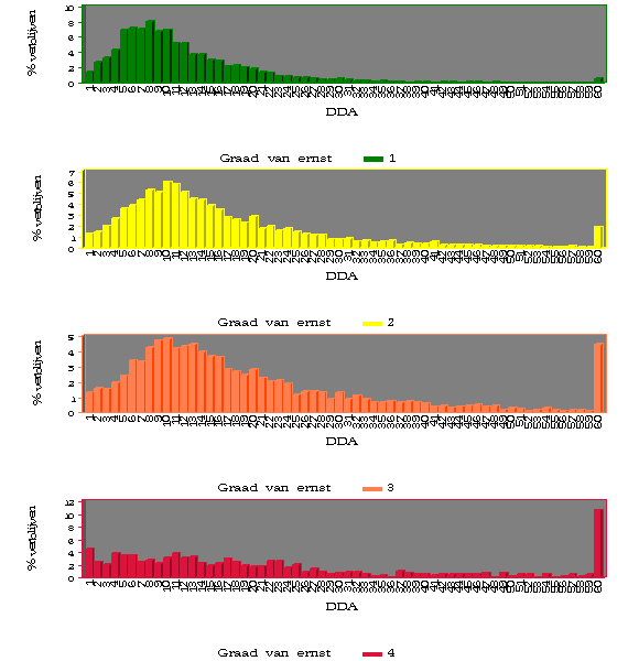
3. Verdeling van het toegediend volume per APR-DRG in DDA
We vertrekken van dezelfde tabel als beschreven in punt 1 hierboven met per APR-DRG het totaal aantal verblijven, het aantal verblijven met antibiotica en het percentage verblijven met antibiotica. Maar als op een APR-DRG geklikt wordt komt men nu bij de grafieken.
Grafieken: Verdeling van de verblijven per toegediend volume aan antibiotica in DDA
Voor elke APR-DRG heeft men een grafiek met de verdeling van de "DDA"
In de nationale feedback heeft men één grafiek. In de feedback per ziekenhuis worden onder de grafiek met de gegevens van het ziekenhuis ook de nationale cijfers afgebeeld.
Feedback per ziekenhuis
Klik op de grafiek om de verblijven zonder AB te elimineren
Deze grafieken geven het aantal verblijven weer waarbij de patiënt een bepaald aantal DDA's aan antibiotica gekregen heeft. De kleuren geven de graad van ernst weer: groen = 1 mineur, geel = 2 matig, oranje = 3 majeur, rood = 4 extreem
De verticale as geeft het aantal verblijven weer en de horizontale as het aantal DDA's.
In deze grafiek worden alle verblijven afgebeeld, ook diegene waarbij de patiënt geen antibiotica gekregen heeft. In dat geval is het aantal DDA's gelijk aan nul (eerste balk).
Indien het aantal DDA's geen geheel getal is, wordt de waarde naar boven afgerond. Dus als een patiënt antibiotica kreeg maar minder dan 1 DDA dan wordt het verblijf gegroepeerd in DDA=1. Voor de meeste DRG's wordt een schaal van 0 tot 60 DDA's gebruikt. De laatste balk bevat dan alle verblijven van patiënten die 60 DDA's of meer gekregen hebben.
Voor de APR-DRG's die per verblijf een zeer hoog aantal DDA's hebben gebruikt men een schaal van 0 tot 250 met stappen van 5. DDA=0 blijft gelijk aan geen antibiotica. De verblijven met antibiotica met 1 DDA tot en met 5 DDA worden geklasseerd in DDA=5 , meer dan 5 DDA en tot en met 10 DDA in DDA=10, enz.
Grafiek 1: Alle verblijven
Klik op de grafiek om de verblijven zonder AB te elimineren
Zoals U op de figuur links kunt zien, kan voor een bepaalde APR-DRG het aantal verblijven zonder antibiotica zeer groot zijn waardoor de verdeling van de DDA's voor de verblijven met antibiotica op de grafiek niet meer te onderscheiden is. Door op een balk in de grafiek te klikken, komt men op een volgende grafiek terecht waarbij de verblijven zonder antibiotica niet meer voorgesteld worden.
Grafiek 2: Verblijven met antibioticaKlik op de grafiek om de verdeling per graad van ernst te zien
Uit de kleuren combinatie kan men afleiden dat bij de ernstigere gevallen relatief meer antibiotica gegeven wordt, maar ook dat er een grote spreiding is. Om het onderscheid tussen de verschillende graden van ernst beter te illustreren, wordt de grafiek in de volgende figuur in 4 aparte grafieken uitgesplitst: één per graad van ernst.
Grafiek 3: Verblijven met antibiotica à verdeling per graad van ernst
Voorbeeld:
Tabel 2.1: verdeling van het antibioticaverbruik (volumes)
Graad van ernst NAB GEMID. DDA P5 P25 P50 P75 P95 P75-P25 P95-P5 Mineur 7865 11,8 2,3 6,0 9,2 14,7 28,6 8,7 26,3 Matig 7467 16,7 3,1 8,0 12,7 20,3 42,5 12,3 39,4 Majeur 3890 20,7 3,3 9,0 14,9 25,0 56,3 14,0 53,0 Extreem 744 26,3 1,3 7,7 16,6 31,4 82,3 23,7 81,0 TOTAAL 19966 15,9 Met de graad van ernst neemt het gemiddelde en de mediaan (p50) toe, maar vooral de toename van de spreiding valt op. Voor de graad van ernst "mineur" bevindt 50 % van de verblijven (tussen P25 en P75) zich tussen 6 DDA en 14,7 DDA, of een spreiding van 8,7 DDA. Voor de graad van ernst "extreem" bevindt 50 % van de verblijven zich tussen 7,7 DDA en 31,4 DDA, of een spreiding van 23,7 DDA.
-
Beschrijving van de basisgegevens.
Van de feedback bevinden zich ASCII-bestanden met alle basisgegevens zodat de meer ervaren computergebruiker deze gegevens ook kan inlezen en verwerken is zijn favoriete software (Excel, SAS, SPSS enz). Deze bestanden bevinden zich in de directory's die beginnen met "data_ ".
De kolommen worden van elkaar gescheiden door # en het eerste record bevat een label dat U hieronder bij de beschrijving terug vindt tussen haakjes ( ) .
Data_MDC:Hierin bevindt zich slechts één bestand met de naam "MDC.ASC". Het bevat per MDC (rmdc) het aantal verblijven (N) en de totale bedragen voor:
- de ligdagprijs (pdj-ldp)
- de geneesmiddelen (farma)
- de prestaties (prest)
- de klinische biologie (bioclin)
- en de som van de andere bedragen (reste):
- forfaitaire honoraria voor medische beeldvorming, klinische biologie en medische wachtdienst
- weefsel van menselijke oorsprong
- radio-isotopen
- moedermelk
- implantaten, tracheostomie materiaal, materiaal voor stomie en incontinentie
Met deze informatie kunnen alle gemiddelden en percenten zoals weergegeven in de HTML-pagina's berekend worden.
De labels voor de MDC's vindt U in de directory "ref" in het bestand "MDC.asc".
Data_DRG:Hierin bevinden zich 20 bestanden.
In de 6 bestanden die beginnen met "drg_" vinden zich de gegevens op APR-DRG niveau.
- "DRG_TOTAL.ASC": Per APR-DRG (rdrg) het totaal gefactureerde bedrag (totaal) en de percentielwaarden (p5,p25,p50,p75,p95).
- "DRG_art2728.ASC": Per APR-DRG (rdrg) het totaal aantal verblijven (N) en het gemiddeld bedrag voor de implantaten, tracheostomie materiaal, materiaal voor stomie en incontinentie (gemid).
- "DRG_farm.ASC ": Per APR-DRG (rdrg) het bedrag voor de geneesmiddelen (totaal) en de percentielwaarden (p5,p25,p50,p75,p95).
- "DRG_DAY.ASC": Per APR-DRG (rdrg) het bedrag voor de ligdagprijs (totaal) en de percentielwaarden (p5,p25,p50,p75,p95).
- "DRG_STAY.ASC": Per APR-DRG (rdrg) het gemiddeld aantal gefactureerde ligdagen (mean)en de percentielwaarden (p5,p25,p50,p75,p95).
- "DRG_AGE.ASC": Per APR-DRG (rdrg) de gemiddelde leeftijd (mean) en de percentielwaarden (p5,p25,p50,p75,p95).
De 10 bestanden die beginnen met "si_" bevatten de gegevens per APR-DRG en graad van ernst.
- "SI_TOTAL.ASC": Per APR-DRG (rdrg) en graad van ernst (SI) het totaal bedrag (totaal) en de percentielwaarden (p5,p25,p50,p75,p95).
- "SI_ARTI2728.ASC": Per APR-DRG (rdrg) en graad van ernst (SI) het totaal aantal verblijven (N) en het gemiddeld bedrag voor de implantaten, tracheostomie materiaal, materiaal voor stomie en incontinentie (gemid).
- "SI_FARM.ASC": Per APR-DRG (rdrg) en graad van ernst (SI) het bedrag voor de geneesmiddelen (totaal) en de percentielwaarden (p5,p25,p50,p75,p95).
- "SI_BIOCLIN.ASC": Per APR-DRG (rdrg) en graad van ernst (SI) het totaal aantal verblijven (N) en het bedrag (deel aan 25 %) voor klinische biologie (totaal) en de percentielwaarden (p5,p25,p50,p75,p95).
- "SI_FORFHONO.ASC": Per APR-DRG (rdrg) en graad van ernst (SI) het totaal aantal verblijven (N) en het bedrag voor de forfaitaire honoraria (totaal) en de percentielwaarden (p5,p25,p50,p75,p95).
- "SI_INTERVEN.ASC": Per APR-DRG (rdrg) en graad van ernst (SI) het totaal aantal verblijven (N) en het bedrag voor de medische en chirurgische prestaties (totaal) en de percentielwaarden (p5,p25,p50,p75,p95).
- "SI_OTHERINT.ASC": Per APR-DRG (rdrg) en graad van ernst (SI) het totaal aantal verblijven (N) en het bedrag (totaal) voor de andere bedragen en de percentielwaarden (p5,p25,p50,p75,p95).
- "SI_DAY.ASC": Per APR-DRG (rdrg) en graad van ernst (SI) het bedrag voor de ligdagprijs (totaal) en de percentielwaarden (p5,p25,p50,p75,p95).
- "SI_STAY.ASC": Per APR-DRG (rdrg) en graad van ernst (SI) het gemiddeld aantal gefactureerde ligdagen (mean) en de percentielwaarden (p5,p25,p50,p75,p95).
- "SI_AGE.ASC": Per APR-DRG (rdrg) en graad van ernst (SI) de gemiddelde leeftijd (mean) en de percentielwaarden (p5,p25,p50,p75,p95).
De 4 bestanden die beginnen met "cat_" bevatten de gegevens per categorie.
- "CAT_BIOCLIN.ASC": per APR-DRG(rdrg), graad van ernst (SI) en categorie van de klinische biologie (cat) het aantal verblijven binnen deze groep (N) het bedrag(totaal) en de percentielwaarden(p5,p25,p50,p75,p95)
- "CAT_FORFHONO.ASC": rdrg,SI,cat,N,total,p5,p25,p50,p75,p95
- "CAT_INTERVEN.ASC": rdrg,SI,cat,N,total,p5,p25,p50,p75,p95
- "CAT_OTHERINT.ASC": rdrg,SI,cat,N,total,p5,p25,p50,p75,p95
De labels van de APR-DRG's en de verschillende categorieën vindt U in de directory "ref" in de bestanden "DRG_nl.asc" , "DRG_cat_bioclin.asc" , "DRG_cat_forfhono.asc" , "DRG_cat_interven.asc" en "DRG_cat_otherint.asc".
Data_Farma:Hierin bevinden zich 7 bestanden.
- Het bestand "SI.ASC" bevat per APR-DRG(rdrg) en graad van ernst (SI), het totaal aantal verblijven (NTOT), het aantal verblijven met medicatie (Nfarm), het bedrag(Sum) en de percentielwaarden (p5,p25,p50,p75,p95).
- Het bestand "ATC1.ASC" bevat dezelfde informatie maar nog verder uitgesplitst tot op ATC1 niveau (rmdc-rdrg-SI-ATC1-Nfarm-Sum-p5-p25-p50-p75-p95).
- Bij een verdere indeling tot op ATC4 niveau wordt het
aantal records enorm groot Daarom werd dit bestand in 5 delen
opgesplitst:
- deel 1: "ATC4_MDC-p_04.ASC" bevat de gegevens voor de Pre-MDC en de MDC 1 tem 4
- deel 2: "ATC4_MDC05_07.ASC" bevat de gegevens voor de MDC 5 tem 7
- deel 3: "ATC4_MDC08_11.ASC" voor MDC 8 tem 11
- deel 4: "ATC4_MDC12_16.ASC" voor MDC 12 tem 16
- deel 5: "ATC4_MDC17_FF.ASC" voor MDC 17 tem 25 en de rest-DRG's
Deze 5 bestanden bevatten per MDC (rmdc) ,APR-DRG (rdrg), graad van ernst (SI) en ATC1-klasse (ATC1), de 10 ATC4-klasse (ATC4) met het hoogste totaal bedrag, het aantal verblijven met medicatie uit deze ATC4-klasse (Nfarm) en het totale ZIV-bedrag(Sum).
De labels van de APR-DRG's en ATC1 en ATC4 klassen vindt U in de directory "ref" in de bestanden "DRG_nl.asc" , "ATC1.asc" en "ATC4.asc".
Data_AB:- Hierin bevinden zich 5 bestanden.
- "DRG_NAB": Per APR-DRG (rdrg) het totaal aantal verblijven (N) en het aantal verblijven waarbij de patiënt antibiotica kreeg (NAB).
- "SI_DDA.ASC": Per APR-DRG (rdrg) en graad van ernst (SI) het totaal aantal verblijven (N), het aantal verblijven binnen deze groep waarbij de patiënt antibiotica kreeg (NAB), het totaal aantal DDA's (totaalDDA) en de percentielwaarden (p5,p25,p50,p75,p95).
- "SI_FB.ASC": Per APR-DRG (rdrg) en graad van ernst (SI) het totaal aantal verblijven (N), het aantal verblijven binnen deze groep waarbij de patiënt antibiotica kreeg (NAB), het bedrag (totaalFB) en de percentielwaarden (p5,p25,p50,p75,p95).
- "CAT_DDA.ASC": Per APR-DRG (rdrg), graad van ernst (SI) en antibiotica-klasse (cat), het aantal verblijven binnen deze groep (NAB), het totaal aantal DDA's (totaalDDA) en de percentielwaarden (p5,p25,p50,p75,p95).
- "CAT_FB.ASC": Per APR-DRG (rdrg), graad van ernst (SI) en antibiotica-klasse (cat), het aantal verblijven binnen deze groep (NAB), het totale bedrag (totaalFB) en de percentielwaarden (p5,p25,p50,p75,p95).
-
Beschrijving van de referentiebestanden.
Ref:Hierin bevinden zich 10 bestanden.
- "AB_CAT.ASC": antibiotica-klasse (catAB), Franse beschrijving (description_fr), Nederlandse beschrijving (description_nl).
- "ATC1.ASC": code ATC1 (ATC1), Franse beschrijving (description_fr), Nederlandse beschrijving (description_nl).
- "ATC4.ASC": code ATC4 (ATC4), Franse beschrijving (description_fr), Nederlandse beschrijving (description_nl).
- "DRG_CAT_BIOCLIN.ASC": categorie klinische biologie (catBC), Franse beschrijving (description_fr), Nederlandse beschrijving (description_nl).
- "DRG_CAT_FORFHONO.ASC": categorie voor forfaitaire honoraria (catFH), Franse beschrijving (description_fr), Nederlandse beschrijving (description_nl).
- "DRG_CAT_INTERVEN.ASC": code voor de groepen binnen het bestand interven (catIN), Franse beschrijving (description_fr), Nederlandse beschrijving (description_nl).
- "DRG_CAT_OTHERINT.ASC": code voor de groepen binnen het bestand otherint (catOI), Franse beschrijving (description_fr), Nederlandse beschrijving (description_nl).
- "DRG_FR.ASC": APR-DRG-code (rdrg), aanduiding chirurgische (MP = P) of medische (MP = M) APR-DRG, code MDC (rmdc) Franse beschrijving (description_fr)
- "DRG_NL.ASC": APR-DRG-code (rdrg), aanduiding chirurgische (MP = P) of medische (MP = M) APR-DRG, code MDC (rmdc) en de Nederlandse beschrijving (description_nl).
- "MDC.ASC": MDC-code (MDC), Franse beschrijving (description_fr), Nederlandse beschrijving (description_nl).



